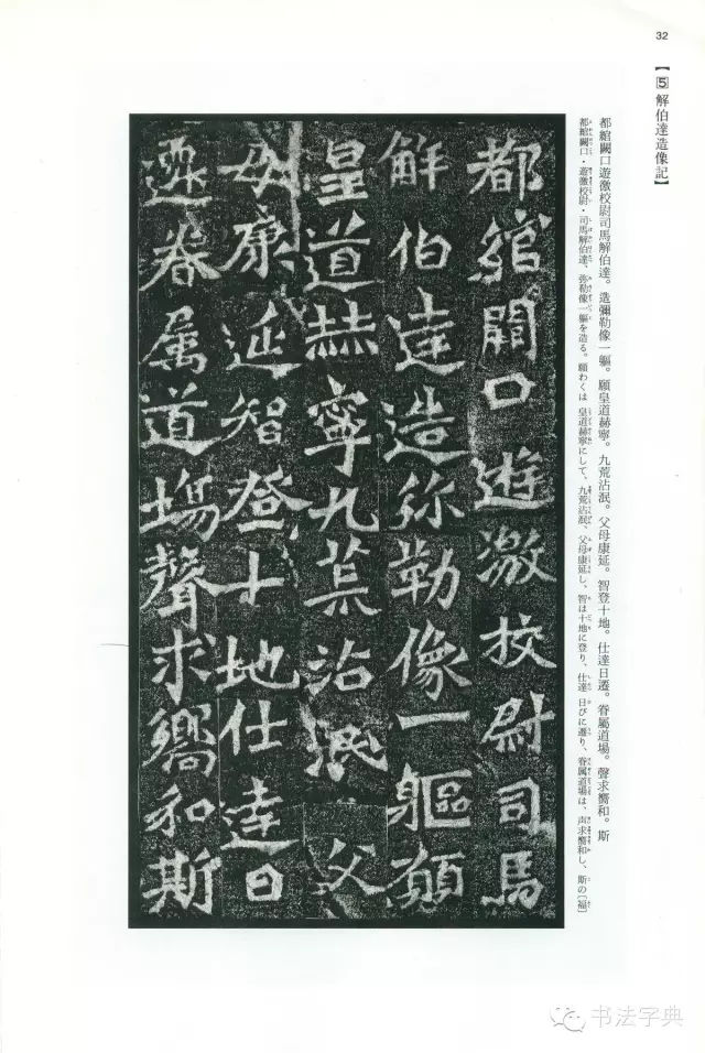
司马解伯达造像记


司马解伯达造像记

未知

北朝

公元477年

楷书

《司马解伯达造像记》,北魏太和间刻,正书。在古阳洞北壁。正书,14行,其中6,7,8行,一行3字,余皆一行5字。可见64字。龙门二十名品之一。

此记具有笔力方俊、气势雄强之风,又不拘成法地发挥自我创造意识和智慧,表现出丰富的审美情趣和创造才能。点画方截、峻厉、雄强,时寓圆柔之笔以破板滞。起笔有直、斜、横落及轻重之别,点画长短、方圆兼用。撇捺开张,极纵其势。此拓片现收藏于洛阳碑志拓片博物馆。

【原文】

都绾阙口游激校尉,司马解伯达,造弥勒像一区,愿皇道赫宁,九荒沾泯,父母康延,智登十地,仕达日迁,眷属道场,声求响和,斯福必就,六趣群生,咸同此愿。太和年造。